Комплект горовители за MacBook Pro 15 Retina → Обява 54334013

Комплект горовители за MacBook Pro 15 Retina, снимка 1 - Части за лаптопи - 54334013 Комплект горовители за MacBook Pro 15 Retina, снимка 2 - Части за лаптопи - 54334013 1/2
Комплект горовители за MacBook Pro 15 Retina
гр. София, Илинден Наблюдавай

Публикувана/обновена днес в 20:06 ч.

Състояние
Ново
Доставка
Лично предаване; Купувача
Марка
Apple
Размер
От 14 до 15.5 инча
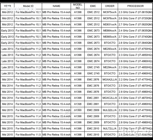
Продавам комплект нови горовители за Apple Macbook Pro 15 Retina модел A1398 2012-2015

Цена 10 евро
Преглеждания: 17
Другите търсят също
Препоръчани за теб
Цена:
10 € 19,56 лв